Loading...

Вера Андреевна Виль родилась в 1990 году в Ангарске. В 2007 году она поступила в Российский химико-технологический университет им. Д.И. Менделеева на факультет химико-фармацевтических технологий и биомедицинских препаратов. С 2012 года по настоящее время Вера Виль работает в Институте органической химии им. Н.Д. Зелинского РАН. В 2017 году она защитила кандидатскую диссертацию, а в октябре 2025 — докторскую.
Сейчас она возглавляет лабораторию химии промышленно полезных продуктов Института органической химии имени Н.Д. Зелинского РАН. В 2024 году Вера Виль выиграла конкурс на создание молодежных лабораторий по направлению «Малотоннажная химия».
Считается, что пероксиды — вещества, содержащие цепочку из двух атомов кислорода (-О-О-), — известны еще с конца XVIII века. Есть данные, что самый первый из них — пероксид бария BaO2 — случайно получил в 1799 году один из основателей современной географии Александр фон Гумбольдт во время попыток разложить воздух. Приблизительно два десятилетия спустя известный французский химик Луи Жак Тенар синтезировал перекись водорода — самый известный пероксид, назвав его «кислородной водой».
C 1863 года известно и о роли пероксидов в живых системах: немецко-швейцарский химик Кристиан Фридрих Шенбейн (1799-1868) сообщил, что большое разнообразие растительных и животных тканей может превращать бесцветные настойки гваякола в синие с помощью перекиси водорода; он классифицировал это явление как каталитическое окисление. Именно поэтому Шёнбейна обычно считают первооткрывателем пероксидаз.
Для живой клетки перекись водорода — сильный яд, но она же — важнейший инструмент, который клетки используют для окисления различных веществ. В 1954 году были открыты особые органеллы клеток, присутствующие во всех эукариотических организмах — пероксисомы, которые производят перекись водорода, используют ее для окисления и затем утилизируют при помощи фермента каталазы.
С XIX века известны и органические пероксиды, ставшие тематикой изучения Веры Виль. Это вещества, в которых пероксидный мостик соединяет атомы углерода (цепочка -С-О-О-С-). Наверное, самые известные органические природные пероксиды — это простагландин G2, одно из веществ семейства простагландинов, регулирующих воспаление и знаменитый артемизинин – эффективное противомалярийное средство, принесшее китаянке Ту Юю Нобелевскую премию по физиологии или медицине 2015 году (справедливости ради, что Ту Юю это открытие подсмотрела в книге средневекового китайского философа, «бессмертного» Гэ Хуна, что не умаляет ее заслуг).

Простагландин G2

Артемизинин
Вера Виль занимается синтезом органических пероксидов и вообще — окислительно-восстановительными реакциями с самого начала своей работы как исследователя, когда она в 2010 году, обучаясь на третьем курсе РХТУ им. Д.И.Менделеева, пришла в лабораторию.
«Органические пероксиды — это бедные родственники в химии. Они используются повсеместно, но их даже не изучают отдельно в университетском курсе органики», — отмечает Виль.
Если говорить более общими словами, тематика всей химической жизни лауреата — это создание новых связей типа «углерод-углерод» и «углерод-гетероатом» с использованием одного из фундаментальных типов химических реакций – реакций окисления.
Любопытно, что до сих пор в химии к окислению существует два подхода, что добавляет путаницы в литературе.
«Первый подход описывает окисление как процесс «удаления» электронов из молекулы субстрата, […] второй подход предполагает введение атомов кислорода в результате взаимодействия двух или более молекул, в ходе которого одна из них переносит атом кислорода на окисляемый субстрат», — пишет Виль в своей докторской диссертации, которую она защитила уже после решения Научного комитета о присуждении ей премии.

Основные направления исследований и синтезов Виль в области химии органических пероксидов
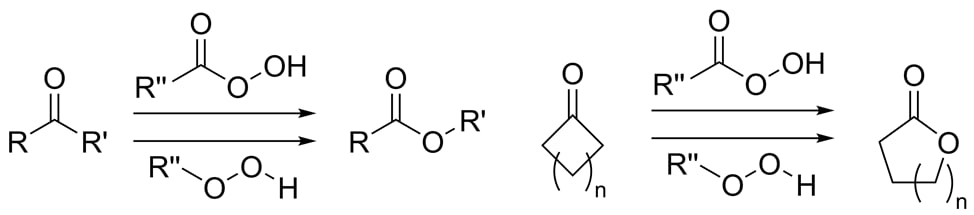
В области синтеза пероксидов и их дальнейших превращений работы Веры Виль привели к важным фундаментальным открытиям. Наверное, самое интересное и удивительное — расшифровка механизма одной из широко использующихся в органической химии — реакции Байера-Виллигера (перегруппировки Байера-Виллигера), окисление кетонов до сложных эфиров или лактонов (в случае циклических кетонов) под действием пероксида водорода в присутствии кислот. Альдегиды в условиях реакции образуют карбоновые кислоты.

Реакция Байера-Виллигера
Эта реакция была открыта немецкими химиками, нобелевским лауреатом по химии 1905 года Адольфом фон Байером и его учеником Виктором Виллигером еще в позапрошлом веке — в 1899 году, а в 1950-х годах их соотечественник Рудольф Криге предположил, что в механизме реакции участвует особый пероксид, интермедиат Криге.

Интермедиат Криге в реакции Байера-Виллигера
Работы Виль впервые подтвердили участие этого интермедиата в перегруппировке Байера-Виллигера, установили все тонкости молекулярных превращений в реакции, которые позволяют более точно настраивать реакцию, а также синтезировать стабильные пяти- и шестичленные интермедиаты Криге, которые до работ лауреата в течение трех четвертей века оставались чисто теоретическими построениями.
Помимо этого, Вера Виль создала новые методы синтеза связей «углерод-углерод» и «углерод-кислород» с использованием пероксидов и новые синтезы самих пероксидов. Например, новый метод синтеза спиро-циклопропилмалоноилпероксида, который сделал этот пероксид легко доступным окислителем в лабораторной практике химиков-органиков.

Синтез спиро-циклопропилмалоноилпероксида
Другое направление работ Виль — это использование в качестве «чистого» окислителя электрического тока анодных процессов. Лауреату совместно со своей командой впервые удалось вовлечь углекислый газ в электроорганический синтез, найти новый способ введения цианогруппы в органическую молекулу — с использованием неорганических тиоцианатов. Исследователи разработали первый способ синтеза органических пероксидов в условиях гальваностатического электролиза. Использование электрохимических методов в окислительном органическом синтезе, созданных группой Виль, позволяет синтезировать новые структуры более экономно, с минимумом побочных продуктов, что дает возможность использовать их в «зеленой» химии.

Основные направления работы Веры Виль в области электрохимической органической химии
Работы лауреата представляют собой не только фундаментальный интерес. Молекулы и технологии, созданные Виль, находят разное применение.
Одно из важнейших применений новых молекул – средства защиты растений, в первую очередь – фунгициды. Некоторые вещества показали высокую эффективность против грибковых болезней растений. При этом после того, как они выполнили свою функцию, подобные фунгициды в почве превращаются в безопасные соединения, не токсичные ни для растений, ни для человека.
«Мы сотрудничали с Всероссийским научно-исследовательским институтом фитопатологии, это Московская область, в Больших Вяземах. Сейчас работаем с Учебно-опытным почвенно-экологическим центром МГУ им. М. В. Ломоносова «Чашниково». Наши многолетние полевые испытания показали эффективность применения новых фунгицидов против грибковых заболеваний, удается сохранить как растения, так и урожай. Полевые испытания мы проводим ежегодно, в разные сезоны и на разных культурах, кроме картофеля, опробовали соединения на яровой и озимой пшенице, на горохе.
В зоне рискованного земледелия работаем вместе с Научно-исследовательским институтом сельского хозяйства Северного Зауралья в Тюмени», — говорит Виль в одном из интервью.
В последнее время в этой области ведутся работы и с вьетнамскими коллегами, поскольку тропические фруктовые растения тоже подвержены грибковым инфекциям.
Развитие этой тематики может быть интересно и для создания новых лекарственных препаратов уже не для растений, а для человека.
Второе направление практических работ группы Виль — это получение новых материалов. Пероксиды активно используются в полимерной промышленности — как инициаторы полимеризации или как агенты, «сшивающие» между собой длинные полимерные цепи для получения нового качества полимерных материалов. Среди прочих заказчиков исследований — ПАО «Саратовский электроприборостроительный завод имени Серго Орджоникидзе». Также команда Виль ведет работы по разработке технологий микропроточного синтеза.
Подписывайтесь на InScience.News в социальных сетях: ВКонтакте, Telegram, Одноклассники.